UFOs Unnatural Movements
The laws of physics are universal
Adapted from Daniel O'Connor's book "Only Man Bears his Image" with permission
All technologies that operate in the universe are subject the laws of physics, regardless of the innovation aliens develop to operate within these laws.
“An object in motion stays in motion with the same speed and direction unless acted upon by a force. The rate of change of momentum of an object is equal to the force applied to that object. For every action there is an opposite and equal reaction.” —Cf. Sir Isaac Newton
High velocity, or a sudden change of velocity from one direction to the opposite direction
Below is a fairly typical recounting of an alien sighting.
Like American observations, the Soviet Air Force had many instances in which UFOs were observed hovering, then departing at great speed. Some of these reports estimated the craft to be ...more than 600 feet [in diameter] with speeds ranging from hovering to triple the capability of modern fighters, yet then stopping again instantaneously. Other reports indicated that the UFOs displayed “startling maneuverability,” yet made no sound. An investigation claimed that the UFO observed “was completely devoid of inertia. In other words, they had somehow ‘come to terms’ with gravity ... Approaching the UFO, [one fighter pilot] reported the size of the target ...”the proportions of a flying aircraft carrier.” ...then suddenly the UFO took off at amazing speed. [He] estimated that it went from stationary to Mach 10 almost instantaneously.
Let's make some calculations for this “flying aircraft carrier” which “almost instantaneously” accelerated from being stationary to Mach 10 (7,672 miles per hour).
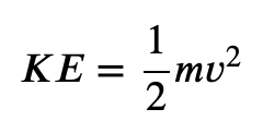
How much kinetic energy is required?
For the weight of the aircraft we'll use 100 million kilograms which is weight of an aircraft carrier as per the pilot's description of the mass of the UFO. An object moving at Mach 10 would require an amount of energy determined by this calculation:

Where:
- KE = kinetic energy
- m = mass of a body
- v = velocity of a body
Kinetic Energy = 1/2 * 100,000,000 kg * 7,672 mph ^2

This comes to 5.8 x 10^14 Joules, or about 167,000 megawatt hours. This is over a hundred times as much energy as is consumed by the entire city of New York over the course of a day, and about ten times the amount of energy released by the atomic bomb dropped on Hiroshima. If such an extraordinary amount of energy was generated by any craft whatsoever—regardless of what hypothetical advanced alien technology could possibly be used to generate it—such an event would be overwhelmingly obvious (not to mention, destructive) to anyone within a massive radius.
Such pressures would immediately disintegrate even the strongest theoretically possible material object for this craft, and would likewise immediately liquefy any pilot inside the craft, regardless of its own makeup or its own supposed “advanced stage of evolution.”
This kinetic energy is required to cause a single maneuver of 10 milliseconds. Each acceleration—and deceleration, and each turn—would require similar emissions of this unthinkable energy quantity.
How much power is required?
Power is energy (work) divided by time.

Releasing the amount of energy at play (6x10^14 Joules) over the course of 10 milliseconds entails a power consumption of 6x10^16 watts (sixty thousand trillion watts). This amount of power is not merely 100 times what is consumed by New York City (as discussed earlier); rather, it is over ten million times as much. It is also more than 21,000 times as much power as is consumed by the entire world—enough power to supply a world of 90 trillion inhabitants at current usage.
If even a fraction of UFOlogists' claims were true, the mere heat generated by these accelerations and decelerations would long ago have boiled off all our oceans and cooked the entire surface of the planet. Note that, to decelerate an object, one must convert all that object’s kinetic energy into thermal energy dispersed into the surrounding environment. This is why brake pads become so hot, it is why rockets burn up on re-entering the atmosphere, and it is why we see “shooting stars” (which are meteorites igniting due to their friction with earth’s atmosphere).
Therefore, while the accelerations of these UFOs would impart astounding amounts of heat to the environment (even the most advanced theoretically possible means of propulsion would lose at least 10% of their energy to heat—your own car likely loses about 70% of its energy to heat when accelerating), the decelerations would—by definition—impart all of their energy, as heat, into the surrounding environment.
What about overcoming the laws of gravity?
Even light itself cannot escape gravity, as Einstein showed. Every corporeal reality is subject to it.
Ufologist might not argue that gravity has been suspended, blocked, or overcome, but merely that it is being countered in a manner so mysterious that we cannot observe it. To scrutinize this claim, we must understand that any physical object will always be pulled toward earth. It can only remain aloft by 3 ways:
- Exert force equal and opposite an objects own weight: Rapid rotating blades, flapping wings, rocket propulsion. It is impossible to hide, as anyone who has watched a hellicopter or rocket launch knows.
- Thrust and wing angle: An airplane (or a large gliding bird), counters gravity through “lift”. The wings force air downward, so the object is no longer held against the ground by gravity.
- Buoyancy: A craft itself is lighter than air, such as with a blimp, a hot air balloon, or a seed floating in the wind. No accelerations or turns, without additional propulsion method (i.e., those listed above). It is intrinsically slow and clumsy and can only work when the weight of the air displaced by the object’s volume matches the weight of the object itself. Can't work on any object with substantial density. A massive a hot air balloon can only lift a few people.
None of these methods explain UFO movements. Ufologists generally insist that alien technology is so incomprehensibly advanced that we have no right at all to even think scientifically about what is observed. Thus, they illustrate how pseudoreligious and ideological—not scientific—the movement itself is.
Ion-Thrusters
Yet, some offer an explanation such as ion-thrusters, by beaming minuscule particles (or even massive amounts of electromagnetic waves in a laser configuration) in the necessary direction. They have been in development here on earth for several decades, and can scarcely exert enough force for you to feel it, even if put your hand next to it. Even that minuscule amount of ion flow has proven caustic enough to erode holes through metal objects that were near the ejection of these ions. Anything beneath a UFO using such means of propulsion would be instantaneously irradiated into oblivion. Solid rock itself would be reduced to lava and promptly vaporized.
Magnetic fields
Dr. Rothman rightly observed:
[Unlike with gravity,] electrical shielding is possible because there are two kinds of electrical charges: positive and negative. By contrast, there is only one kind of mass. Therefore gravity, an interaction between masses, has only one form: a universal attraction. As a result, there is no way of arranging masses so that they do anything but attract each other with the gravitational force. They can’t produce a gravitational shield or a repulsive gravitational force. Here we see a peculiar—but common—situation: a concept invented as sheer fantasy by a science fiction writer taking on a life of its own. ... No one will ever build a flying vehicle that is capable of hovering high in the air while supported by nothing but magnetic fields. This applies to inhabitants of other planets as well. ... it is not possible for a vehicle to hover, speed up, or change direction solely by means of its own magnetic field.
The proof of this lies in the fundamental principle of physics that nothing happens except through interactions between pairs of objects. A space vehicle may generate a powerful magnetic field, but in the absence of another magnetic field to push against, it can neither move nor support itself in midair. The earth possesses a magnetic field, but it is weak—about one percent of that generated by a compass needle.
For a UFO to be levitated by reacting against the earth’s magnetic field, its own field would have to be so enormously strong that it could be detected by any magnetometer in the world. Similarly, it does not help to talk about the UFO’s magnetic field reacting with the iron in the earth’s core, since interactions between a magnet and a bare piece of iron are always in the form of an attraction. And finally, as the magnetic UFO traveled about the earth, it would induce electric currents in every power line within sight, blowing out circuit breakers and in general wreaking havoc.
It would not go unnoticed. ... This discussion exemplifies an important general principle. A given idea—such as levitation of a UFO by a magnetic field—may sound plausible at first, but when numbers are put into the known equations, the results can be disappointing. In fact, there is no force in nature that can keep any kind of vehicle levitated and motionless at a high altitude (apart from helicopters, rockets, and satellites in synchronous orbits). ... No one will ever build an antigravity machine, simply because no gravitational repulsion exists. ... no matter how you arrange particles of matter, the gravitational force between them will always be an attraction.
Therefore, there is no way to produce a gravitational shield or a machine that will nullify or reverse the effects of gravity... Antigravity is a concept originated in fiction and exists nowhere else.
What about "zero gravity"?
Another common misunderstanding about the nature of gravity holds that astronauts in space are in “zero gravity.” Those who believe this are under the impression that astronauts who launch into space meet a mysterious threshold somewhere in the stratosphere which, when crossed, causes the cessation of the pull of gravity. This popular fallacy has, in turn, generated a common view of gravity itself that fails to understand how universal, absolute, far-reaching, and insurmountable it is. Nothing could be further from the truth than the “zero gravity in space” notion. The reality is that even astronauts in orbit (for example, in the International Space Station) are subject to almost the same amount of gravitational pull from the earth as we are (they only experience weightlessness because they are in continual freefall)
Gravity cannot be imperceptibly overcome
How can any craft simply not be subject to the pull of gravity? There is one and only one way: if it has no mass at all, not corporeal. Such a phenomena, if observed, is beyond-natural. To be precise, it is preternatural, diabolical.
UFOlogists are retreating to a "multiverse" model
UFOlogists are realizing that their assertions cannot sustain honest scientific examination and they have begun to move into the multiverse model where aliens just appear from the "other side" rather than from a distant planet. It is our assertion that the other "reality" from which they are appearing is the spiritual world. Such phenomena, if and when they are truly observed, are diabolical in origin, which may be why modern academia is spending so much energy trying to relegate discussion of the demonic to the realm of medieval uneducated myth. Nothing could be more pleasing to the devil.